일단 사람들이 임피던스라 하면 어렵게 생각한다. 우리 한글로 말하면 임피던스는 저항이다. 잉? 저항이라고? 이상하지 않는가? 아니 안 이상하다. 임피던스는 저항이다. 그러나 일반적으로 우리가 말하는 저항은 Resistor의 저항인 Resistance다. 그러나 엄밀히 말하면 임피던스는 모든 회로 소자들의 저항이다. 즉, 우리가 말하는 Resistance는 저항기의 임피던스를 Resistance라고 하는 것이다.

여튼 개념은 우리가 생각하는 저항을 생각하면 된다. 그래서 우리가 알고 있는 옴의 법칙이 성립한다.
V = I X Z
일단 임피던스의 설명은 간단히 하고 합성은 어떻게 계산하느냐.....기본 개념은 역시 저항과 같다. 저항은 직류에서는 전류의 흐름을 방해하고 병렬로 배치하면 경로가 많아지기 때문에 저항이 감소한다. 기본적으로 물의 흐름이 전류의 흐름과 동일하게 흐르는데 저항을 물의 양을 조절하는 벨브라고 생각하고 벨브의 열린 정도를 저항이라고 생각하자. 물이 흐르면서 벨브가 늘어나면 그 늘어나는 양 만큼 흐름이 막히게 된다. 같은 벨브가 여러 경로로 존재하면 하나의 경로로 흐르던 물이 여러 경로로 흐르게 되어 흐르는 전체 물의 양은 증가하게 되므로 저항이 줄어드는 것과 같다.
이런 원리로 결국 직렬 연결은
Z = Z1 + Z2 + ...... + Zn
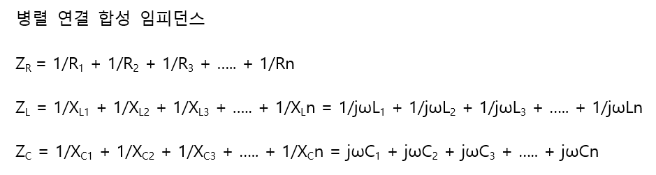
그리고 병렬 연결은
Z = 1/Z1 + 1/Z2 + ..... + 1/Zn
이 된다.
여기서 Z가 R이라면 저 공식대로 하면
Z = R 이므로
R = R1 + R2 + ...... + Rn과 R = 1/R1 + 1/R2 + ..... + 1/Rn
이 된다.
우리가 대부분 알고 있는 저항의 합성 연결을 C와 L로 보면 비슷하지만 같지는 않다.
일단 C와 L의 임피던스에 대해 알아야 하겠다.

직렬로 연결된 위 회로의 임피던스는

이다. 당연히 직렬 연결이니까.....그런데 여기에서 XL과 XC는 리엑턴스 (L과 C의 임피던스를 나타내는 말)로 표기되어 있는 것이라 허수부가 존재한다. 허수부가 존재하는 이유는 R은 이론적으로는 주파수에 독립적이라 주파수가 변함에 따라 바뀌지 않지만 L과 C는 주파수에 따라 임피던스가 변화한다. 그래서 주파수에 대한 식으로 표현하면 아래와 같다.

여기서 ω는 2πf로 주파수 함수이다. 그래서 정리를 하자면


여기서 C와 L은 주파수에 대해 변화가 있는 값이므로 실제 실무에서는 정확한 값을 계산할 때를 제외하면 그냥 R과 L은 직렬시 SUM 값이 더해지고 C는 병렬이 값이 더해진다라고 이해하고 해석하는게 대부분이다.
'전자 이야기 > 회로 이야기' 카테고리의 다른 글
| [전자회로] 요즘 전자회로 설계하기 쉽네..... (0) | 2026.01.24 |
|---|---|
| [전원IC] LM26480을 이용한 FPGA 전원 공급 (0) | 2020.02.13 |
| [ZXCT1030] 전류 모니터 회로 (0) | 2020.01.30 |
| Op-AMP Comparators (비교기) (0) | 2020.01.23 |
| [OP-AMP] 비안정 멀티 바이브레이터 회로 (구형파 발생 회로) (0) | 2020.01.23 |
