* 전송선로 중 가장 오래된 것 중 하나
* 도체가 넓어짐으로 도체 저항을 줄이는 효과
* Couplers, detectors, isolators, attenuators, slotted lines 등으로 활용
* 도체가 하나뿐이므로 TEM 모드는 존재하지 않으며 TM과 TE 모드 만이 존재
* 차단 주파수가 있으며 그 이하 주파수에는 전자파 전파가 일어나지 않음
1. TE Mode

유전율 ε과 투자율 μ인 물질로 채워진 구형 도파관, x축의 길이가 y축의 길이보다 길게 가정, a > b일 때
TE모드이므로 Ez=0이며 Hz는 헬름홀쯔 파동 방정식을 만족한다.

이 때 hz(x,y)에 대한 일반해는

이 때 경계 조건은 다음과 같다.


위의 경계조건을 도입하기 위해 ex와 ey를 구하면


위의 식에서
y=0일 때 D=0, y=b일 때

x=0일 때 B=0, x=a일 때


전파상수는 손실이 없다고 가정하면




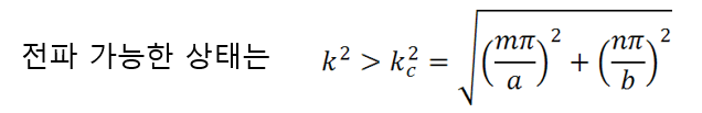
이므로 차단주파수 fcmn 은

이 된다. 가장 낮은 차단 주파수를 갖는 모드를 기본모드(dominant mode)라고 하는데, a>b라 가정했으므로 TE 모드의 기본모드는 TE10모드가 된다. 만약 m=n=0이면 모두 0이 되어 존재하지 않는다.
1) f > fc : 도파관의 축방향으로 감쇠없이 전파 가능
2) f = fc : cutoff 상태
3) f < fc : 도파관의 축방향으로 감쇠발생 (차단, 소멸모드)

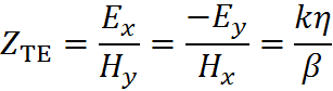
도파관내의 물질의 진성 임피던스가

일 때 파동 임피던스는

관내 파장은 도파관을 따라 같은 위상평면 사이의 거리로 정의

위상속도는


관내 파장은 매질내에서의 평면파의 파장 보다 길다. 위상속도는 매질 내에 빛의 속도보다 빠르다. 군속도는 빛의 속도보다 느리다.

구형 도파관의 감쇠는 유전체 손실과 도체 손실에 의하여 발생한다. 유전체 손실에 의한 감쇠상수는

도체 손실에 의한 감쇠상수는

대부분의 도파관의 경우 내부가 공기이므로 유전체 손실은 무시할 수 있으며 주로 도체에 의한 손실이 주로 발생한다. 이는 도파관 벽이 완전 도체라면 손실이 없으나 실제로 유한한 도전율을 가지므로 발생한다. 그림은 a=2cm인 황동으로 만든 직사각형 도파관의 모드별 감쇠 곡선이다.


2. TM 모드

진행축에 수직인 성분은 앞절의 식에 Ez를 대입하여

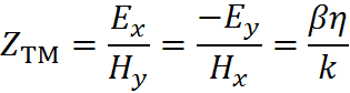
TM 모드에서의 전파상수, 차단주파수, 관내 파장, 위상속도 모두 TE 모드와 동일




TM 모드에서는 m과 n중 어느 하나가 0이 되면 E, H도 0이 되기 때문에 TM00, TM01, TM10은 존재하지 않는다.
그러므로 기본모드는 TM11이며 그에 대한 차단주파수는

으로 TE10의 차단주파수보다 크다. 또한 파동임피던스는

3. TE, TM 전자계선

'전자 이야기 > 무선통신 시스템' 카테고리의 다른 글
| [RF] Behavioral Model (0) | 2020.12.08 |
|---|---|
| [레이더] 레이더 송수신기 구조 (0) | 2020.07.01 |
| [레이더] 레이더의 분류 (0) | 2020.06.25 |
| [도플러] 도플러 효과 (Doppler Effect) (0) | 2020.06.25 |
| [전파정의] 전파, 주파수, 파장, 대역폭의 정의 (0) | 2020.06.21 |
